Como un acto involuntario, y porque así nos inculcaron, cuando tenemos sed lo primero que buscamos es un gran vaso de agua. En la actualidad, la ciencia se replantea si esta es la mejor manera de mantener el cuerpo hidratado.
Como un acto involuntario, y porque así nos inculcaron, cuando tenemos sed lo primero que buscamos es un gran vaso de agua. En la actualidad, la ciencia se replantea si esta es la mejor manera de mantener el cuerpo hidratado.
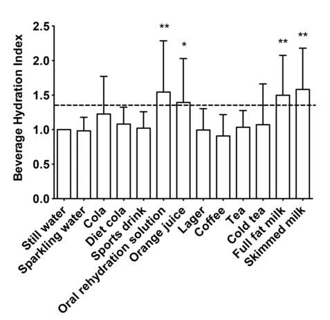
Un nuevo estudio de la Universidad St. Andrews, en Escocia, comparó el nivel de hidratación de 13 bebidas diferentes, incluyendo refrescos, jugo de naranja e incluso bebidas deportivas. La ganadora, para la sorpresa de varios, fue la leche.

Cabe destacar que los investigadores evaluaron varios factores. Entre ellos, la cantidad ingerida, la densidad energética, la cantidad de electrolitos y la presencia de agentes diuréticos.
Además, los especialistas comprobaron que las bebidas con un poco de azúcar, grasa o proteína hacen un trabajo aún mejor que el agua para mantenernos hidratados por más tiempo. La explicación para esto es la respuesta del cuerpo a las bebidas.

Es decir, cuanto más se bebe, más rápido la bebida sale del estómago y se absorbe en el torrente sanguíneo, donde los fluidos corporales se diluyen y uno se hidrata. Otro factor que afecta la hidratación está relacionado con la composición de nutrientes de la bebida.
Por ejemplo, acorde a la investigación, se descubrió que la leche es aún más hidratante que el agua pura porque contiene lactosa (el azúcar de la leche), algunas proteínas y un poco de grasa. Esto ayuda a retrasar el vaciado del líquido del estómago y a mantener la hidratación durante un período más largo.

Aun así, la leche también contiene sodio, que actúa como una esponja y retiene el agua en el cuerpo, lo que resulta en una menor producción de orina.